History of Paracetamol
Introduction
Paracetamol
is a medicine commonly used as a mild painkiller. It also reduces body
temperatures of individuals with fever. Hence, paracetamol has both analgesic
and antipyretic properties.
How paracetamol was discovered
In
the 1880s, at the University of Strassburg in the Department of Internal Medicine , Professor Kussmaul requested two assistants to give patients
naphthalene for internal worm treatments. They found that naphthalene had
little effects on the internal infections. However, one of the patients
reported a high reduction in body temperature. This observation prompted them
to do a thorough investigation of the patient. The results of their
investigation revealed that the patient was given acetanilide but not
naphthalene as result of confusion at the pharmacy.
The
assistants speedily published the discovery of antipyretic property of acetanilide. After their publication, acetanilide remained in production and
use for several years since it was easy to produce. However, its use faced many
side effect complaints such as the deactivation of hemoglobin in red blood
cell.
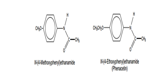
The
acetanilide publications news intrigued a chemist at Bayer’s dyeworks to come
up with some acetanilide derivatives; N-(4-Methoxyphenyl) ethanamide and N-(4-Ethoxyphenyl)
ethanamide (phenacetin). Phenacetin and N-(4-Methoxyphenyl) ethanamide were found
to have antipyretic properties. It was discovered that N-(4-Ethoxyphenyl)
ethanamide was less toxic as compared to acetanilide. It was preferred and has
been in use ever since. However, restrictions were imposed on its use due to
the damage it causes to the kidney for its long-term use.
Numerous
medicines were produced to improve N-(4-Methoxyphenyl) ethanamide. As early as 1893
Joseph Von Mering synthesized paracetamol. Paracetamol discovered by Mering had
both analgesic and antipyretic properties, but it was believed that it could
have the same side effects as acetanilide.
In
the 1940s, paracetamol was reinvestigated, when it was discovered in the doses
of patients who were using phenacetin. In 1953, Sterling Winthrop Company marketed
paracetamol and preferred it over aspirin because it could be taken by people
with ulcers and children. However, cases of liver damage were reported from its
chronic use.
N.B.:
The antipyretic and analgesic properties of phenacetin could be as result of
paracetamol. Since the primary metabolic product of phenacetin is paracetamol. Paracetamol
readily forms in the gut individuals who take phenacetin.




Comments
Post a Comment